Sensitive and specific detection of measurable residual disease (MRD) after treatment in pediatric acute myeloid leukemia (AML) is prognostic of relapse and is important for clinical decision making. Mutation-based methods are increasingly being used, but are hampered by the limited number of common driver gene mutations to target as clone markers. Additional targets would greatly increase MRD detection power. However, even in cases with many AML-defining mutations, it is the limited accuracy of current molecular methods which establishes the lower bounds of sensitivity. Here we describe an ultrasensitive approach for disease monitoring with personalized hybrid capture panels targeting hundreds of somatic mutations identified by whole genome sequencing (WGS), and using extremely accurate Duplex Sequencing (DS) in longitudinal samples. In a pilot cohort of 13 patients we demonstrate detection sensitivities several orders of magnitude beyond currently available single locus testing or less accurate sequencing.
With multi-target panels, overall power for MRD detection is cumulative across sites. For example, if a patient has MRD at a true frequency of 1/30,000, sequencing a single mutant site to 10,000x molecular depth would be unlikely to detect MRD. However, sequencing 10 sites each to 10,000x would effectively total 100,000x informative site depth, increasing power to >95%. However, standard sequencing assays are insufficiently accurate to achieve this theoretical limit of detection (LOD). DS enables accurate detection of individual variants to <10-5 with an error rate <10-7 and, thus, can achieve MRD sensitivities below one-in-one-million.
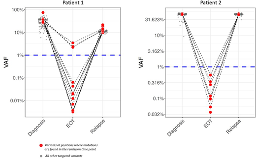
Marrow aspirates were collected from 13 uniformly treated pediatric AML patients at time of diagnosis (TOD), during treatment (end of induction, EOI), in remission (end of therapy, EOT), and at relapse. 9/13 patients relapsed. DNA from TOD was analyzed by WGS. Germline variants were excluded and somatic single nucleotide variants (SNVs) were targeted by a custom probe panel designed for each patient. An average of 170 SNVs were targeted per patient (range 53-200). More than 90% of the SNVs were noncoding. Longitudinal samples were then analyzed with DS, which compares sequences from both strands of each DNA molecule to eliminate technical noise and reveal biological mutation signal with extreme accuracy and sensitivity.
A median of 82% of WGS SNVs were validated by DS in the TOD DNA, and the vast majority of those were also present at relapse. Relapsers had more SNVs at diagnosis than non-relapsers. EOT samples were sequenced to an average Duplex molecular depth of 29,400x, with a maximum of 61,283x. The figure below shows time course plots tracking SNVs at diagnosis, EOT and relapse for 2 patients. Among mutations validated in TOD samples, a median of only 8 (5%) were detected per EOT sample (range 0-66 mutations). MRD was detected in 8/9 relapsers. Targeting 1 or even 10 SNVs would therefore have missed MRD in the majority of these patients. Among relapsers, median EOT SNV VAF was 0.069%. The lowest single VAF detected per EOT sample ranged from 0.036% to 0.002%. The presence of an SNV at diagnosis and relapse implies that it must truly be present at EOT, whether or not it is detected. Therefore, if a small minority of leukemic mutations are detected at EOT, the true overall MRD frequency is much lower than the LOD at any single site. In the only relapser where MRD was not detected, targeted SNVs were present at diagnosis and relapse, so additional sequencing depth at EOT would eventually reveal ultra-low frequency mutations. Among patients that did not relapse by the end of the study, median VAF at EOI (the latest time point DNA available) was 0.0258%. Therefore, non-relapsers have a lower median VAF at EOI than relapsers do even later at EOT, potentially indicating very early on that treatment is more successful.
This study shows excellent performance of DS-based assays for detecting MRD with patient-specific panels. We have demonstrated that among large panels of validated somatic SNVs present at time of diagnosis, a median of 5% are identified at EOT in eventual relapsers. DS detected MRD in 8/9 patients, and at a median VAF well below the limit of detection of any other sequencing technology. Comprehensive personalized hybrid selection panels coupled with DS represents a powerful option for MRD monitoring in pediatric AML and potentially other cancers.
Higgins:TwinStrand Biosciences: Current Employment. Lo:TwinStrand Biosciences: Current Employment. Hipp:TwinStrand Biosciences: Current Employment. Valentine:TwinStrand Biosciences: Current Employment. Williams:TwinStrand Biosciences: Current Employment. Radich:TwinStrand Biosciences: Research Funding. Salk:TwinStrand Biosciences: Current Employment.
Author notes
Asterisk with author names denotes non-ASH members.

This feature is available to Subscribers Only
Sign In or Create an Account Close Modal